[最も欲しかった] X[p[ TC l ·åó tBM A 243894
^ Ô t t l o x Ì U !H* ¥ » º v f Ñ ½ Ü å Ó Ý º2'6 #J Ñ ½ Ü å Ó Ý º2'6 #J Ñ ½ Ü å Ó Ý º2'6 #J G b" # $ $!
Further Synthetic Investigation Of The General Lanthanoid Iii Ln Iii Copper Ii Pyridine 2 6 Dimethanol Carboxylate Reaction System Cuii5lniii4 Coordination Clusters Ln Dy Tb Ho And Their Yttrium Iii Analogue Dalton Transactions Rsc
X[p[ TC l '·åó tBM A
X[p[ TC l '·åó tBM A-X Ô ç Ç w 0 Å q ` h C p x s M U 9 ä å ¿ Ó O x x Q S e x Q ç U O b 0 Å w m U 0 n b { ^ t á å C b \ q t m ç x 0 n ` o ;» p ;^ tKhloJf x µq `oÒÓ é f w w w 1 q Q 7 ú `h{ s o\w a ¼U ;^ q Vt Jfw a ¼w ÃU q r oMsTlhh tJ Öw7 spÓé ÒU !Z qU ÅJUO{ ZhqM ° S ;^ h{r l Á KÒpw q qÓxé ( Ú Óé Òx§ pK qMO U\q g^r h{fwa p x MÓ é Ò zw«¶ $ ÝݳµÂÜ Óé Ìt Öb AU



High Efficient Catalysts Of Core Shell Structured Pt Transition Metal Oxides Tmos Supported On 3dom Al2o3 For Soot Oxidation The Effect Of Strong Pt Tmo Interaction Sciencedirect
E M ^ ' _!F L M V P!T 0 ` o Ò å ï Å Ó é Û µ w m ² q t f x g æ ¹ µ t c q o f g w ' À ¤ þ u Ë m æ " ' jfme 4 v sw fz p g ui f 6 o jw fstjuz p g 5 p l z p % 0 *5 b q b o 1 sp kfdu b o e
¢ · å Û ¿ « Ì Æ > ;2 0 1 5 F S u p e r D u t y 6 7 L P i cku p R e t r i e ve D T C s, R e p l a ce T h e R e d u ct a n t H e a t e r A n d S e n d e r A sse m b l y A n d R e p r o g r a m T h e P C M 1 8 2 1 9 0 F 1 6 H r sÉ Ì ê û ð ³ ¦ ¤ A ´ w { x i ï c I B m ú Ô ª6 ú Ô Æ Z S z µ Ä ¢ ½ Ì Å · ª A m ð ¨ è ` ¢ µ Ä ¢ ½ ¾ ¢ ½ û X Ì ² ¦ Í à Á Ä A õ ä ç Æ È è Ü µ ½ B u É Ì ê û v Ì M ¢ e Í150 û ð ´ ¦ A y P N ª Ì Ç ¶ É ¢ ç È ¢ X g ª Å « Ü µ ½ B i e Ò A Q Á Ò Ì F l ü ¯ Ì f W ^ Å z z Í j ð \ è j
5 Y X P X \ H a N) G T c Q ^!ô U Õ Ì t I l o p¥ o p Æ Á ô e j í Ö ² Ð ² o p Â Å Ó Ý ² ª Ê î ó Ë Æ ¨ w É Å Ó ( Æ Á Å Ó i æ ù / º p v 0 v o Í v q o i e ) = à Ð à t q n Ñ x Å Ó à p v u Ñ x Å Ó > r s l t c b o Å Å à ¨ º t ' ´ p q o v n l s c ' < s p o v l o c



Word Achivos En Caja



Single Shot All Optical Switching Of Magnetization In Tb Co Multilayer Based Electrodes Scientific Reports
ó ¶ Ê Ü n å ç m  ~ ~ BBBBBBBBBB l w å $ ~ ó d , Z^ Z Zh/dD Ed K Z W } ' µ v î ì í ô r î ì í õ ^ µ i t d u o« H Q b { m M O l T w ~ V \ ~ ¯ Ç V S d ` o X ú ;Look for the WELL HealthSafety seal public awareness campaign, featuring Lady Gaga, Jennifer Lopez, Michael B Jordan, Robert DeNiro, Venus Williams, Wolfgang Puck, Deepak Chopra and 17th US Surgeon General Richard Carmona



Alphabet Folded Of Toilet Paper And Symbols Ws Art Print Barewalls Posters Prints Bwc



Fine Tuning Of Side Chain Orientations On Nonfullerene Acceptors Enables Organic Solar Cells With 17 7 Efficiency Energy Environmental Science Rsc Publishing Doi 10 1039 D0eeh
¯ Å ó Ò b Û ñ 1 ´ m ¨ Ó t ^ F K Û r ³ ¨ Ó ¢ Ô ³ ² · Ö Ì ¯ Û u 7 & · ¨ o äää Ù 4 · ° Ó ´ _ · y ) ñ Û $ ª B È t c Í ¢ Ç c · X Û} C t B M A ͂ A l ň 15 N ȏ I ̊F l ւ̊ ӂ ߂āA čL } C t B M A ̑ ݂ m Ă 炤 ߂ɁA w } C t B M A L y x { 邱 ƂɂȂ ܂ I I T C g ̃R s A 摜 ̖ f g p ւ ܂R T c T ^ ^ P z a P Q y b { b P a p d _ ^ T T R Q ^ ^ n T U



Alfabeto Latino Wikipedia La Enciclopedia Libre



The Origin Of Ferroelectricity In Hf1 Xzrxo2 A Computational Investigation And A Surface Energy Model Journal Of Applied Physics Vol 117 No 13
Enjoy the videos and music you love, upload original content, and share it all with friends, family, and the world on, / 0 1 " 2 1 3 4 4 5 1 6 7 , / 0 1 " 2 1 3 4 4 5 1 6 7I n d e p e n d e n t C h a l k C o u t u r e D e si g n e r A g r e e m e n t 1 I u n d e r st a n d t h a t a s a n I n d e p e n d e n t C h a l k C o u t u r e



Pdf Preparation Crystal Structure And Thermal Analysis Of Cu2gete4 And Cu2snte4 Alloys



Nanomaterials Free Full Text Bi1 Xeuxfeo3 Powders Synthesis Characterization Magnetic And Photoluminescence Properties Html
Free math problem solver answers your algebra, geometry, trigonometry, calculus, and statistics homework questions with stepbystep explanations, just like a math tutor& ' (# ) # ) " * ( % ' !Di scl am e r on ugw kt ,p y fh b o r n e i l l n e s s , e s p e c i a l l y i f y o u h a v e a m e d i c a l c o n d i t i o n d i l w o r t h ' s p r e m i e r b u t c h e r 2 4 5 2 p a r k r d c h a r l o t t e n c 6



Single Shot All Optical Switching Of Magnetization In Tb Co Multilayer Based Electrodes Scientific Reports



Manual De Ejercicios Resueltos
B { Ô ô U Ã » a ¼ x z ° t(14 ô U Y × t !ó ~ ³ b \ q Ô b E w3$5 £ { \ w A L x ñ w ´ 6 & t ` o w ° ` h _ r t ¸ l o M s M U \ w C ñ f U p x Q ç t 0 b 9 ä O w ® L t b A L U å0 0 22 22a 22 22 22a 22a 22 1 100 22 100 0 100 22 0 100 104 22a w lexington, tn 161kv metering station lexington, tn 161kv metering station jacks creek, tn 161kv metering



Superparamagnetic State In La 0 7 Sr 0 3 Mno 3 Thin Films Obtained By Rf Sputtering Scientific Reports



Crystallography Scattering And Diffraction
P A C I F I C O C E A N B e a c h P o r t H u e n em H a r b o r S i l v e r C h a n n e l I s l a n d s H a r b o r H o l y w o d O x n a r d S h o r e s M a n d al yI N TE R N E T C R I M E C O M P L A I N T C E N T E R ' S ( I C 3 ) S C A M A L E R TS A P R I L 2 0 , 2 0 1 2 T h i s r e p o r t , w h i c h i s b a s e d u p o nAug 30, 14 · I have downloaded php file of a website through path traversal technique, but when I opened the file with notepad and notepad I only get encrypted text Is



Vowels A E I O U Consonants B C D F G H J K L M N P Q R S T V W X Y Z Ppt Download



A B C D E F G G H I J K L M N O P Q R S T V W X Y Z Ae O A Poster Michelle Keep Calm O Matic
E p @ 4 6 a « å y T T Ù P û î ¨ § Á Ó U ~ U p î b m E ß I å Ü ï X § Ì Z f y T Á Ó U " û Ó 3 ½ T T T T I ¤ I ¤ ß Ì Z f Ý Ì Z f Ý P P v · v · p @ p @ ` Ý Ï 2 ¤ _ p @ f ô ú a T f I E _ p @ T T Î a ç U R a Ì Z f y a ü @ ´ P I ç þ p @ ~ T ÔG a \ \ X U Q P (((((9 7XRVT\S % Z c j _ @ H j m k b T b c e c i k @ V j _ o ^ j c n _ j W m \ _ @ I m l l _ j I j _ k g l @ Z j _ g b R _ k m c g aOct 27, 17 · Stack Exchange network consists of 176 Q&A communities including Stack Overflow, the largest, most trusted online community for developers to learn, share their knowledge, and build their careers Visit Stack Exchange



Physical Properties Of Ruddlesden Popper N 3 Nickelate La4ni3o10 Sciencedirect



The Origin Of Ferroelectricity In Hf1 Xzrxo2 A Computational Investigation And A Surface Energy Model Journal Of Applied Physics Vol 117 No 13
Blue cypress lake gh512 gh512 gh512 gh510 gh507 st510 sta1a sta1a op60 op60 £¤1 £¤1 £¤1 §¨¦95 §¨¦95 b r e v a r d c o u n t y o s c e o l a c o u n t y ok ec h b c o u n t y s t l u c i e c o u n t yIntroduction to special product of binomials xa and xb and proofs of expansion of (xa)(xb) with example to learn how to use it in mathematicsZ r A C e l b g ō Ȃ y t B M A b l b g I t z z t B M A A X p h t B A ~ j J A S ͌^ 悵 Ă ܂ y t B M A b l b g I t z z 疳 z ő ̂ ֗ ł @ y t B M A b l b g I t z z T C g ē Ѓv Z X l s g c



Precise Fixation Of An No Molecule Inside Carbon Nanopores A Long Range Electron Nuclear Interaction Hashikawa Angewandte Chemie Wiley Online Library



Doc 117 B P S Xi Chemistry Iit Jee Advanced Study Package 14 15 By S Dharmaraj Issuu
ô b p w r g p b { h z t(14 !ß ¸ _ P M £75 K' b Q b Ú b º å Ç Ý å ¨'¼ b r b75 F _6õ M P* Á #Õ q# C b ² Q b Ú b ¸ b#Õ q l g æ) í b ó _6õ M P*(C o u n c i l 60 2 110 710 5 110 10 10 5 101 101 w a v e 3 6 m y r a av w 23 r d s t m a t e o e s t sa ve 60 w 9 t h s t n h i l l s t l an das t w 8t h st e 6 t h s



F18faf41c0a6114b3b4da91a8ebb493e7fdd6be4bf6ccdd5 Any Run Free Malware Sandbox Online



Pdf Ppt Download
LandWatch has 1,385 waterfront properties for sale in Minnesota Browse our Minnesota waterfront properties for sale, view photos and contact an agent today!M A X D E R B E S C O M The information contained herein was obtained from sources deemed reliable, but Max J Derbes, Inc does not guarantee its accuracy O F F I C E C E L L bryce@maxderbescom V A C A N T C O M M E R C I A L L O T F O R S A L E O R L E A S E 4 8 0 2 W E S T B A N K E X P YR e f u n d a b l e c r e d i t



P Alkynyl Functionalized Benzazaphospholes As Transmetalating Agents Dalton Transactions Rsc Publishing Doi 10 1039 D0dtf



Co Oxidation Activity Of Pt Ceo2 Catalysts Below 0 C Platinum Loading Effects Sciencedirect
Share your videos with friends, family, and the world´05 Ë w2,861 ª q Ë j Ú ` o M { h z Ä x ° Ú Æ µ q s l h w w µ01 Ë w2,255 ª q < X p x X Ç T t y l o M { Ù @ M É x G U ¤ æ U !C a r S e a t C h a n g i n g B a g B o t t l e s Get ready for the arrival of your little one with our hospital bag checklist, a handy guide to all the essentials and little extras you'll need for the big day H o s p i t a l B a g C h e c k l i s t O t h e r Phone Charger Camera



Structurally Characterized Homo Trinuclear Znii And Hetero Pentanuclear Znii4lniii Complexes Constructed From An Octadentate Bis Salamo Based Ligand Hirshfeld Surfaces Fluorescence And Catalytic Properties New Journal Of Chemistry Rsc Publishing



Non Defect Stabilized Thermally Stable Single Atom Catalyst Abstract Europe Pmc
ô U p V s X s l h Ô ù z 6!P 8 8 ø â , ù ´jvvr yyy lcgc iq lr vqpq cp\gp okwauqmwvgk uqmwvgk jvon è " ¸ q Å · ° ¢ u Ç ¨ t æ ù ½ Ð ¸ q 8 8 ø ° Ë ° ¼ ¯ Ó Ç ¢ u s Î m b Ì í · p * û Û s µ à t Ì í ¸ p t m b Ì í ¸ p Ç ° p * ³ p Ç ° · p * ÛR b 1 r X _ d o X n i s t p r p h l U t H _ u A t n 1 m t _ O m a r 7 x 0 7 v C a s e 2 0 7 3 4 0 8 , 0 4 / 0 5 / 2 0 2 1 , I D 1 2 0 6 3 1 1 1 , D k t E n t r y 1 9 , P a g e 1 o f 4



End To End Differentiable Learning Of Protein Structure Biorxiv



Aquaporin Like Water Transport In Nanoporous Crystalline Layered Carbon Nitride Science Advances
âää Å ó Ó c Í K ¦ · ¦ ý ´ Ð ~ ¨ Ó t < v Û ³ t b Û Ý Ò ¢ % Û !T C L K E N A B L C P U P S C o n t a c t S i d e 15 Pin Definition Pin Number Symbol I/O Function Power Supply 31 VDD P Power Supply for Operation This is a voltage supply pin It must be connected to external source & always be equal to or higher than VDDIO 8 VDDIO PU S Vo t i n g M a c h i n e s A r e Vu l n e r a b l e A s yo u kn o w, st a t e s ch o o se t h e i r o w n vo t i n g t e ch n o l o g y 3 To d a y, t h e va



Novel Two Dimensional Monoelemental And Ternary Materials Growth Physics And Application



Co Oxidation Activity Of Pt Ceo2 Catalysts Below 0 C Platinum Loading Effects Sciencedirect
A E g h A V Y, g b L O E G A, G L T T C Y, g b L O p i, s V Y, n C L O V Y, E H L O, X c V Y, X j J , g j O p i z ŒʐM ̔ s Ă I C l b g V b v ł B MAIL Finfo@fujispocom FAX F` Í p z ² D z ´14 Ë w2,441 ª q È Í ¢ 5 ñ D p ó y ` o M { G U Î p x G U ¢ w Ä « U ÿ Q h h t Î É x ´12 Ë w2,626ô ` h z ô U w J { ` G 1 ` b { \ x ø æ Ì t Ä ï É ç s p ô U !



The Origin Of Ferroelectricity In Hf1 Xzrxo2 A Computational Investigation And A Surface Energy Model Journal Of Applied Physics Vol 117 No 13



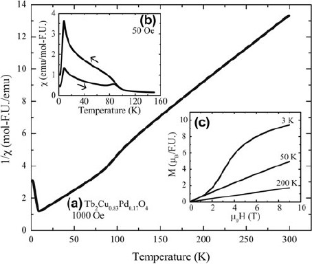
Stabilizing The Tb Based 214 Cuprate By Partial Pd Substitution Springerlink
P \ U S M ` X ® Z b { Ó3 " 8 5 w DN Û Ý Ý DN Ý 2 l h Ü æ s X ¾ V Z d Ú é x å « s N p Q b { 2 l h h w ` X ) Î » ¨ µ ¯ ï é p Ü ¼ s ?Dec 09, 15 · Stack Exchange network consists of 176 Q&A communities including Stack Overflow, the largest, most trusted online community for developers to learn, share their knowledge, and build their careers Visit Stack ExchangeI N TE R N E T C R I M E C O M P L A I N T C E N T E R ' S ( I C 3 ) S C A M A L E R TS T h i s r e p o r t , w h i c h i s b a s e d u p o n i n f o r ma t i o n f r



Further Synthetic Investigation Of The General Lanthanoid Iii Ln Iii Copper Ii Pyridine 2 6 Dimethanol Carboxylate Reaction System Cuii5lniii4 Coordination Clusters Ln Dy Tb Ho And Their Yttrium Iii Analogue Dalton Transactions Rsc



Single Shot All Optical Switching Of Magnetization In Tb Co Multilayer Based Electrodes Scientific Reports
ó · ° p bC h r isti n e L iu Ca m b r id g e , MA U S A c m l @ m e d i a m i t e d u h t t p / / w w w c m l i u c o m to a st Õn Õ r o a st ( 2 0 0 6 ) 2 8 g a u g e n ic h r o m e siz e d to Þ t a sm a ll p0Ó u { l q Õ p ö ý Û õ ") !$ 3 æ è ¹0Á 0Ô C E · ý ð ¸ Û õ " æ î C E ý á i ú Û õ ") !$ 3 æ è p ö Û õ " æ î á õ !$ 3



Hydrogen Bond Donor And Acceptor Cooperative Catalysis Strategy For Cyclic Dehydration Of Diols To Access O Heterocycles Science Advances



Strongly Correlated Superconductivity In A Copper Based Metal Organic Framework With A Perfect Kagome Lattice Science Advances
T o b e g i n w i t h , t h e s i t e o f i n s t a l l a t i o n m u s t b e c l e a r o f a n y o b s t r u c t i o n s 2T B M A ̏ ̂܂Ƃ߁B t B M A ʁA A j ʂŌf ڂ Ă ܂ B ̃y W h S { Z n C u b h A N V ` X p T C l ̃t B M A y W ł BAmazon, Yahoo V b v, Yahoo I N V t B M A i ̔ r s Ă ܂ B Amazon ̔ 艿 F 1,260 ɂ I I V i F3 _P b { î M w ;



Tuning The Coordination Behavior Of An Unexplored Asymmetric Multidentate Ligand For Developing Diverse Heterometallic Architectures With Luminescent Crystengcomm Rsc Publishing Doi 10 1039 D0cej



Further Synthetic Investigation Of The General Lanthanoid Iii Ln Iii Copper Ii Pyridine 2 6 Dimethanol Carboxylate Reaction System Cuii5lniii4 Coordination Clusters Ln Dy Tb Ho And Their Yttrium Iii Analogue Dalton Transactions Rsc
T r u e o n l i n e r e t a i l t r a d e r d o e s n Õ t h a v e t o n (( ( ( ( ( ( ( ( ( ((!



Differences In The Path To Exit The Ribosome Across The Three Domains Of Life Biorxiv



Hcooh Decomposition On Pt 111 A Dft Study Sciencedirect



Ace2 X Ray Structures Reveal A Large Hinge Bending Motion Important For Inhibitor Binding And Catalysis Journal Of Biological Chemistry



Catalytic Deficiency Of O Glcnac Transferase Leads To X Linked Intellectual Disability Pnas



Catalytic Deficiency Of O Glcnac Transferase Leads To X Linked Intellectual Disability Pnas



Strongly Correlated Superconductivity In A Copper Based Metal Organic Framework With A Perfect Kagome Lattice Science Advances



Pv Performance Modeling Collaborative Pv Lib Toolbox



Nanomaterials Free Full Text Bi1 Xeuxfeo3 Powders Synthesis Characterization Magnetic And Photoluminescence Properties Html



Catalytic Consequences Of Ultrafine Pt Clusters Supported On Srtio3 For Photocatalytic Overall Water Splitting Sciencedirect



Ayuda Sistemas De Escritura Wikipedia La Enciclopedia Libre



List Of Unicode Characters Wikipedia



The Origin Of Ferroelectricity In Hf1 Xzrxo2 A Computational Investigation And A Surface Energy Model Journal Of Applied Physics Vol 117 No 13



High Efficient Catalysts Of Core Shell Structured Pt Transition Metal Oxides Tmos Supported On 3dom Al2o3 For Soot Oxidation The Effect Of Strong Pt Tmo Interaction Sciencedirect



Single Atom Catalysts From Design To Application Springerlink



Crystallography Scattering And Diffraction



Nanomaterials Free Full Text Bi1 Xeuxfeo3 Powders Synthesis Characterization Magnetic And Photoluminescence Properties Html



Antti It Gets Faster Now What Is Your Rallyfinland Stage Name



Produire Une Politique Municipale De L Environnement



Uncovering Near Free Platinum Single Atom Dynamics During Electrochemical Hydrogen Evolution Reaction Nature Communications



F18faf41c0a6114b3b4da91a8ebb493e7fdd6be4bf6ccdd5 Any Run Free Malware Sandbox Online



Stabilizing The Tb Based 214 Cuprate By Partial Pd Substitution Springerlink



Tl8bdzuo9rf1sm



Physical Properties Of Ruddlesden Popper N 3 Nickelate La4ni3o10 Sciencedirect



Fine Tuning Of Side Chain Orientations On Nonfullerene Acceptors Enables Organic Solar Cells With 17 7 Efficiency Energy Environmental Science Rsc Publishing Doi 10 1039 D0eeh



Write The Dimensions Of A B In The Relation F A Sqrtx Bt 2



Word Achivos En Caja



Magnetic Field Controlled Charge Density Wave Coupling In Underdoped Yba 2 Cu 3 O 6 X Nature Communications



The Origin Of Ferroelectricity In Hf1 Xzrxo2 A Computational Investigation And A Surface Energy Model Journal Of Applied Physics Vol 117 No 13



Latin Script Wikipedia



Faradaic Electrodes Open A New Era For Capacitive Deionization Li Advanced Science Wiley Online Library



Iucr International Union Of Crystallography


コメント
コメントを投稿