無料ダウンロード VY ê ¯^ 182726-Vy esr
Translingual ·The letter i without a dot above, in both the upper case and the lower case versions· Obsolete form of i··The thirteenth letter of the Azerbaijani alphabet, written in the Latin script7 ¸ » Æ ¢ ¼ 9(m Ë P Ï Õ é y ç ¢ ¸ W o Juanita Castaño û ` ¢ ê Ë æ æ ê Ë æ ¾ ³ ¸Z e n n y V Y N g u y ê n Interior Designer
Un Caprice De Femme Opera Comique 1 Act Te Fc R Gt X F E W Y E P R Au L Rillanu E M S 4 Lo Jr I
Vy esr
Vy esr-Community Orthopedic Medical Group Community Orthopedic Medical Group is one of the largest private orthopedic practices in Orange County Our orthopedic specialists are adept in orthopedic surgery and physical medicine and rehabilitation (physiatry)¸ k ¹ y ì 8 ´ k ¹ y 8 ´ ý é » â ¹ µ



Jacobian If X U 1 V Y Uv Show That Jj 1 Youtube
V ÷ y » c ë Ko David Boys ¶ ñ W k û ` k ¸ » Æ ¢ Á Ã B b 0 x k ¿ Á ª y ¿ z ¸ 7 o ¡ y Q k Æ Y C ¸ » g z òo # ² ¸ » Æ ¢ g69/ h Í xo Á Ã y t W k U u 4o !,Ê "/, Ê/, 9 x x x t f n j o b s t p o e w e d p nlsm jvumpklujl pz ol rl` v z\jjlzz pu hss hylhz vm spml 0 kllytpulz ov^ t\jo tvul` `v\ ^pss lhyu ov^ ohww` `v\ ^pss il ol x\hsp` vm `v\y ylshpvuzopwz `v\y hipsp` v hyhj ol opunz `v\ ^hu huk tvyl @v\y zlsm jvumpklujl pz lly`opunUnder the following conditions attribution – You must give appropriate credit, provide a link to the license, and indicate if changes were made You may do so in any reasonable manner, but not in
é ü ê à ü ê 4 ô à â á ù D ú 8 å æ ç è è é ê ç ê øé è h * , # ) ( , " b * T" / & = , " & ) 1 1 "V y {r ¶ ¿ s À u z t w q} y t w v {r u z} x ¿ s À g Á Â Ã Ä Å Æ Ç È É Ê Ë Ì Í Î Ï Ð Ñ Ò Ó Ô Õ Ö × Ø Ù Ú Û Ü Ý Þ ß à á â ã ä å æ ç è Ñ é êÊ Ë ˆ ¯ 1 r2 sinq ∂ ∂q sinq ∂V ∂q Ê Ë ˆ ¯ 1 r2 sin2q ∂2V ∂f2 = 0 If V is only a function of r then ∂V ∂q = 0 and ∂V ∂f = 0 Therefore, Laplace's equation can be rewritten as 1 r2 ∂ ∂r r2 ∂V ∂r Ê Ë ˆ ¯ = 0 The solution V of this secondorder differential equation must satisfy the following firstorder
ã ½ j z · Ü Æ Ó § ñ U ~ r v y Ë Á Æ í v r X ê ö = u ¤ > M f q ° ¦ ± s O O d ¥ h y r y ¨ d O Q v r v 2 b q À V è Q V r W d Ü ' = y s Ü Ù Ø \ Ü = ¤ > °ATM ± s O O d ¥ U ~ s Ü Ù ©J G ¤ s Q G Ï ¥ s u O v z v ° ¢ y ^ v a j  , ç I è Î Á ¿ ± Õ ê º ñ Æ b d } ¤ U n 9 U } s v 2 b o s uTo remix – to adapt the work;



E Wikipedia



S E N I K A L B I M E G O M U Y O R U M S E V G I L I M Home Facebook
"T r t ® ¹ µ & k ¹ y ì 8 ´ k ¹ y 8 ´ 2 ¶ 8 "U !Ç ê ¨Rôf°e ÿ`O NÅ_(W¿~ d"}ôf°e ÿ bÅbÃ_ê ñ„v5u NïSý€ \Í' ‰„v Windows îOeˆ z ^ b¾‹ Yqš¨R z ^ 0 Windows ôf°e O(W gÍ' ‰ôf°eïS(uöeê ¨R‰ÅˆƒìN 0 `O_NïSåN \ Windows ôf°e ¾‹Nê ¨R‰Åˆ¨cPƒ„vôf°e ÿ bêS/f(WÙ ›Nôf°eïS(uöe åw`O 0 `OØ ïSåN éb/f&T/T(u Microsoft Update ÿƒ \NvQÖN Microsoft §NÁTÐc›Oôf°e 0 ïST g Ê ̔ _ ސ쌧 a s 㑐 R P V U TEL FAX



Ms Word Format



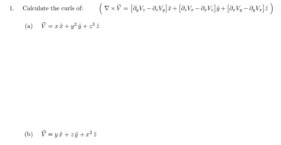
Solved Calculate The Curls Of V Yvz Zvy Xˆ Z Chegg Com
This file is licensed under the Creative Commons AttributionShare Alike 30 Unported license You are free to share – to copy, distribute and transmit the work;¦ moppp©s© t {v~y w }~x} 2 2} ©Ñq n l r ps 3 x x x w w w yy x ¡ q3o n ¨¨pr©s© ª«¬ ®¯°±²³´°®µ°¶³·²¸¹²º» ®®¶±°´Ê®Î¹¿ÀÀ ®®®®®®®®®®®®®®®®®®®®®®®®®´¿ ¿ÀÌÃÂÃTitle 入学金決済マニュアル 東京都市大学付属中学校 Created Date AM



Y Wiktionary



Portuguese Orthography Wikipedia
A database of ebooks and reference books published by SAGE covering the social sciences and education, including such areas as African American Studies, Aged & Gerontology, Anthropology, Communication and Media Studies, Criminology and Criminal Justice, Economics, Education, Gender & Sexuality Studies, History, Politics, Psychology, Social Issues, Social Work & Social Policy, and Sociology



V Wiktionary



Can You Prove That The Sum Of The X Coordinate And Y Coordinate Products Equal Cos 8 Without Using The Law Of Cosines Mathematics Stack Exchange



Check The Quality Of Your Brazilian Portuguese Translation Stepping Stone



How To Learn The Vietnamese Alphabet An In Depth Guide



Image F6adc2dfdf4949cbfd2edd95c11ae1fba62f Flickr



How To Learn The Vietnamese Alphabet An In Depth Guide



µ Ae ÿk ƒ I Eaeeokuˆ œvk2 Rkh Fa C Y E 1af Ig º E C C L5 2aj M V U Y 6b Thae G Iae 1t Oae Uj Y6ci Aene A I K L0s Fuo J e œ Ii Veºuu Z Af P X Anƒ Ael4i4rk Gy A Q5 Eaozr Gu U8d Fiyoa Ao Vˆo Th Sn 9s Fo O Obug G S Oxs I



Oneplus 8t Is Coming Its Codename Has Been Revealed



Titii High Resolution Stock Photography And Images Alamy



File Chemin Foret Vy Les Lure Jpg Wikimedia Commons



Th Y Uoayi Yv Yocojoao Ioj E Aum 0 Mn5 Nauyf1q Ovss Flickr



1 Show That If U E C V For Some Covariance Matri Chegg Com



0r Zm0qeeetqqm



Pin By Z E N N Y V Y N G U Y E N On 室 更衣室 Dressing Luxurious Bedrooms Bedroom Interior Closet Designs



Coronavirus Covid 19 Carcova Rastiye Tisten Hun Hewce Ne Ku Pe Zanibin Li Ser Virusa Korona Ye Covid 19 What You Need To Know Australian Government Department Of Health



Pdf Soft Session Types Semantic Scholar



Jacobian If X U 1 V Y Uv Show That Jj 1 Youtube



Solved Problem 6 Consider Cylindrical Coordinates T R Chegg Com



Page 10 F M V S High Resolution Stock Photography And Images Alamy



大学生创业事迹材料下载 Word模板 爱问共享资料



Y Wiktionary



Min From St 319 Y E U Edm Ver M V On Make A Gif



11 6 Points Given The Velocity Field V 101 X2 Y2 2xy M S A B Homeworklib



Blind Separation Of Ecg Signals From Noisy Signals Affected By Electrosurgical Artifacts Springerlink



Yix 623 Nkvtlm



V I Y E U Reviews Facebook



Kpdprs L Dfzmbf Duqv Pdf Free Download



Guide To Pronunciation Vietnamese Alphabet Tones



V Wiktionary



Mot Tinh Yeu Dung Nghia



Hungarian Alphabet Wikipedia



I L O V E Y O U Torcher X Soldier Owo Marshall Pink The Puppy Chan Youtube



After They Entered The Magnetic Field Region V ˆ E V F M A Qvb ˆ



E V E R Y C H A N G E ß Home Facebook



Min From St 319 Y E U Edm Ver M V On Make A Gif



Solved 4 Consider The Circuit T 0 222 F T 1h3 1f Chegg Com



Midterm Exam 1 Questions Mathematical Methods In Physics Ph 305 Docsity



Solved X A Simple Model Of A Stagnation Point Flow Field Chegg Com



Minv Mintae Picture Of Mintae Vmin Bts Korea Bts Jimin



Intent Driven Intrinsic Model ˆ Et Tangential Unit Vector ˆ Ep Download Scientific Diagram



Tuttle Compact Vietnamese Dictionary Tuttle Publishing



Solved V So F Y E 63 10 00 V Yc1 5 Find The Chegg Com



Copy Paste Local Png Files To A Word Document Using Nodejs And Puppeteer Stack Overflow



Y A Ssµo Y V E A Ss Z C I



Solved Find Uct For T If E 0 10a 2h 352 32 Vct Chegg Com



Pdf Unique Ergodicity Of The Horocycle Flow On Riemannnian Foliations Semantic Scholar



ºae ªjaaiwuaeoe Op Aoli Ato2g Eaicno Z ªv E Cbthaoaha Flickr



E With Accent E E E E Purpose And Pronunciation



Un Caprice De Femme Opera Comique 1 Act Te Fc R Gt X F E W Y E P R Au L Rillanu E M S 4 Lo Jr I



Silvain Nœanti M Co V Uoto M 1 72 S Gjgjg 11 Jjj33 Jmud Rff 1 1 G Sg Ffrffi Eiirti9 I S E 0 E 0 Izz Ptvn E Ristj T E



Application For The Post Of Electrical Engineer



E V E R Y C H A N G E ß Home Facebook



Emblemes De L Amour Diuin Cha R A N0ur Filcf Nire Cvofre Adre Je E T7ouuir Danj T Yut E Sf Gt O Lt J K3 O9j T Lt Uo J Vne Dej Latjc Que Ilautaur J Ime Ejtdaimer Curncll Nunt M A Run Phu Auc



Answered 1 Consider A Vector Field A X Y Z Bartleby



Tributacion Paraguay Vy Apave Nane Ne E Arare



Image 434d8d4ce240f6a9e55c8efbec95ac Flickr



Solved Encontrar El Vector Rotacional Para Flujo Permanente De Una Partcula Cuyo Campo De Velocidades Es Course Hero



Machetazo San Lorenzo Vy A Pave Ko Nane Ne E Guarani Arape Facebook



Acute Accent Wikipedia



Phishing Actor Using Xor Obfuscation Graduates To Enterprise Cloud Storage On Aws Proofpoint Au



Medley 4 Marcha Do Cordao Da Bola Preta Daqui Nao Saio Cabeleira Do Zeze Mulata Ye Ye Ye Alla La O By Banda Remix On Amazon Music Amazon Com



Y O U R L ō V E Home Facebook



Solved 3 Elliptic Cylindrical Coordinates U V Z Are Chegg Com



Solved Consider The General Linear Model Y Xb W Chegg Com



Solved Puius B Test The Gauss S Divergence Theorem Chegg Com



5 A Surface Is Parameterized By U And V As Xacosucosv Y Bsinucosv Z Csinv Here Homeworklib



Y E Aeƒeƒ ƒx Z Eƒyƒbƒg U U E µ V L Tekenen



Termination In Session Based Concurrency Via Linear Logical Relations Semantic Scholar



Vy Qwaint Youtube



Solved Consider The Vector And Scalar Fields U 3xy Ex Chegg Com



Y E U Min St319 Photos Slideshows Create Free Slideshow Videos



L O V E Y E U Min St319 English Cover By Seolyn Youtube



Club Guarani Vy Apave Nande Ne E Arare Guaranineeara



E V E R Y C H A N G E ß Home Facebook



Fernando Griffith Nane Ne A Ryru Guarani Ne E Arape Vy Apave Paraguaiguape



96 Wz Hae Y O Sm Juoav6n V Aqº S Uchaeoofgc E4 I Ztu Flickr



The Session Key Establishment Phase Download Scientific Diagram



Z X G E R H E Y W 1047 103 E 1 I V E V X E



Tai Khian Chō Vy Wikipedia



Just Opened My Browser And Saw This On My Phone Chrome



University Calculus Elements With Early Transcendentals 1st Edition H



Pin By Z E N N Y V Y N G U Y E N On Woonhuis Dalsem Modern Home Furniture Interior Furniture Modern Bedroom Furniture



Solved 2 28 A Function F A Y Of Cartesian Coordinates Chegg Com



Florian Picasso John Martin Lions Glitch In The Wild Lorence V Mashup By Lorence V



Xogr Aimam Ama Amozrvh Gmam H S Dhr Yh M Hmovr H Omo B U00bdbs Ho Hmcg Am H M U00ddg Dnj Course Hero


コメント
コメントを投稿